 
       
        
         
         
            
        发布时间:2025-10-31 10: 00: 00
品牌型号:戴尔 成就 Vostro 15 7510
系统:Windows 11
软件版本:IBM SPSS Statistics 25
如果想比较两个样本间的均值是否有差异,或者判断一个样本是否来源于某一个总体,我们可以借助t检验。t检验是目前应用最为普遍的假设检验方法之一,在生产、社会学、教育学研究等很多领域都有非常广泛的应用。但在很多情况下,我们需要判别一个样本的均值是否大于或小于总体均值,也就是所谓的单侧检验,这种情况下,应该如何借助SPSS处理呢?SPSS怎么做单侧t检验,SPSS单侧检验结果分析是怎样的,本文借助实例,向大家作简单介绍。
一、SPSS怎么做单侧t检验
所说的单侧t检验,就是比较样本均值与总体均值的大小,此时假设检验的原假设是:H0:μ<=μ0或μ>=μ0,那么备选假设为μ>μ0或μ<μ0。但是无论是单侧t检验还是双侧t检验,检验的统计量t都是一致的。
所以无论是做单侧检验还是双侧检验,都需要先求得统计量t。如何使用SPSS求得统计量t以完成单侧t检验,我们列举一个实例向大家介绍。
某加工工件的机床,工件加工的设定长度为20.00 cm,某天,在开始工作前,加工了20个测试件,长度统计如图1所示,判断工件加工长度是否小于设定长度,是否需要对机床进行系统校正。

判断一个样本的均值是否小于总体均值,是单侧检验,但需要先求得统计量t的值。按照下列步骤去求统计量t的值。
按照图2所示的操作步骤,进入T检验功能。

进入“单样本T检验”功能后,将“长度cm”拖拽到“检验变量”复选框中,在“检验值”处输入总体平均数“20”,点击【确定】,如图3所示。

SPSS将进行t检验,运行命令如图4所示,T-TEST代表t检验,样本数量为20,待分析的变量为长度cm,置信水平为0.95。

运行完毕后,SPSS会在查看器显示分析结果,如何根据分析结果进行单侧t检验,我们在第二小节中向大家介绍。
二、SPSS单侧检验结果分析
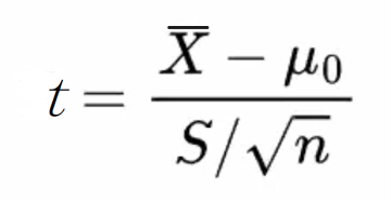
t统计量计算方法如图5公式所示,分母中标准差s为正数,样本数量n的平方根为正数,这种情况下,如果样本平均数确实显著大于总体平均数,统计量t是大于0的,如果样本平均数显著小于总体平均数,则统计量t会小于0。

统计量t的正负性是进行单侧检验的基础,t为负数时,才能拒绝μ≥μ0的假设,t为正数时,才能拒绝μ≤μ0的假设。
本文中例子t检验结果如图6所示,t为负数,具备拒绝μ≥μ0的假设的前提,此时继续观察Sig.(双尾)的值,双尾代表两侧检验。由于进行的单侧检验,需要将Sig.(双尾)的值除以2,再与0.05相比较,如果大于0.05,则接受μ≥μ0的假设;如果小于0.05,则拒绝μ≥μ0的假设。
本例中,t为负数,Sig.(双尾)/2的值为0,小于0.05,因此可以认为样本的平均值小于总体平均值,即加工工件的机床需要进行校正。

本文向大家介绍了有关SPSS怎么做单侧t检验,SPSS单侧检验结果分析的内容。无论是单侧t检验还是双侧t检验,都需要先求得统计量t。进行单侧t检验,需要根据t的正负性和t检验结果,判断样本均值和总体均值是否存在差异。
展开阅读全文
︾
微信公众号
