发布时间:2025-12-12 10: 00: 00
品牌型号:联想 小新14
系统:Windows 10
软件版本:IBM SPSS Statistics 31.0
散点图是常用的数据分析工具,它能够直观展现变量间的关联情况,还能帮助评估数据间可能存在的潜在关系。在数据分析中,散点图的应用十分广泛。而SPSS作为专业制图软件,可以轻松绘制各种散点图。今天我们将和大家一起探讨关于SPSS怎样绘制散点图,SPSS散点图趋势线不明显怎么办的相关内容。
一、SPSS怎样绘制散点图
在SPSS中,可制作四种主要类型的散点图:第一种是简单散点图,即通过双变量(X轴与Y轴)构建的基础图表。第二种为矩阵散点图,可同时展示多个变量间的复杂关联。第三种是重叠散点图,通过叠加不同组别的数据点实现多维度对比。第四种是三维散点图,能以三维空间呈现变量关系。
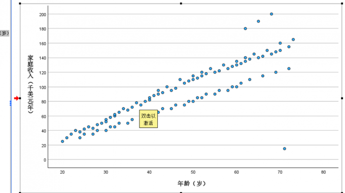
下面我们根据收集到的年龄和家庭收入数据集,以探索年龄与家庭收入之间的关系为例,详细介绍SPSS怎样绘制散点图的操作流程。
1、首先,打开SPSS数据分析软件并导入收集到的数据集。点击顶部菜单栏中的“图形”选项,在下拉菜单中选择“散点图/点图”功能。在弹出的对话框中,我们选择“简单散点图”类型,这是用于展示两个定量变量间基础关系的图表形式。

2、点击“定义”按钮进入变量设置界面。在“X轴”框中,我们将“年龄”变量拖入,这代表图表中的横轴;在“Y轴”框中,拖入“家庭收入”变量,作为纵轴。完成变量设置后,点击“确定”按钮。

3、SPSS会自动生成散点图,如下图所示,其中横轴标注为“年龄”,纵轴标注为“家庭收入”。观察图表可见多数人收入集中在30-120千美元/年(3万-12万美元)。图表呈现“年龄增长收入上升,但高龄段增速放缓”的趋势。

二、SPSS散点图趋势线不明显怎么办
在SPSS软件中绘制散点图时,如果趋势线不明显,这可能是由于数据有异常值、变量间无线性关系或者绘图设置导致的。下面我们一起来看看在SPSS中散点图趋势线不明显怎么办,应该如何优化趋势线显示效果呢?具体的解决方案如下:
1、检查数据有无异常值
通常情况下,异常值会扭曲趋势线。我们可以通过分析功能查看数据分布情况,在SPSS软件中依次点击“分析—描述统计—描述”,将目标变量选入,从生成的统计量中初步判断数据是否存在异常聚集或分散情况。

绘制箱线图也是识别离群点的有效方法,在SPSS中点击“图形—箱图”,选择简单箱图并指定变量,箱体之外的点即为离群点,也就是可能存在的异常值。
解决方法:
直接删除异常值,不过要谨慎操作,需要先明确其产生原因,避免误删有价值数据。
对异常值进行修正,比如依据数据分布规律或业务逻辑将其调整为合理值。
采用回归方法,在SPSS中,依次点击分析 > 回归 > 线性回归,该方法能有效降低异常值对回归结果的干扰,让分析结果更贴近真实情况。
2、 确认变量间有无线性关系
在SPSS软件中计算相关系数,具体路径为依次点击“分析”菜单,选择“相关”,再点击“双变量”,将目标变量选入,点击确定查看变量间的相关系数数值。相关系数是衡量变量线性相关程度的指标,若相关系数接近0,说明变量间无线性关系,趋势线自然不明显。

解决方法:
可以尝试多元回归或非线性回归,比如在SPSS软件中依次点击“分析”菜单,选择“回归”,再点击“曲线估算”。在弹出的窗口中,根据数据特征和实际需求,从多种模型类型里选择合适的模型方法,例如对数、指数、二次项式等。

3、调整散点图设置
在SPSS中绘制散点图时,如果标记点过大过密,掩盖了趋势线;或是颜色对比度低,趋势线与背景、数据点混为一体;又或是点的透明度设置不当,重叠点遮挡了趋势的走向,这些设置都会导致散点图趋势线不清晰、不明显。

解决方法:
在SPSS中双击散点图进入图表编辑器,右键点击散点图中的数据点,在弹出的菜单中选择“属性”,接着在属性设置里找到“标记”里的“大小”选项,适当减小数值,让数据点变小。
还可以采用高对比度的颜色组合,比如用黑色数据点搭配红色趋势线,不同颜色能清晰区分趋势线。

如果是数据点存在重叠情况,导致遮挡趋势线,那我们可以降低点的透明度。同样右键点击散点图中的数据点,选择“属性”,里面找到填充与边框选项,通过调整相关参数来降低透明度,使重叠部分也能清晰呈现趋势线。

以上就是SPSS怎样绘制散点图,SPSS散点图趋势线不明显怎么办的全部内容。在SPSS中,点击顶部菜单栏中的“图形”选项,在下拉菜单中选择“散点图/点图”功能,可以绘制需要的散点图。在SPSS中可能导致散点图趋势线不明显的原因有多种,文中给出了相应的解决方法,希望本文的内容能帮助有需要的小伙伴。
署名:梦
展开阅读全文
︾
微信公众号
读者也喜欢这些内容:
SPSS怎么生成分组柱状图 SPSS柱状图标签显示不全怎么调整
图表可以用简单直观的方式揭示数据的变化情况,帮助我们认识和预测事物变化的方式。如何绘制合适的图表是我们融入社会的一项重要的技能,在包括但不限于科学研究、行政管理和商业统计等社会生活诸多领域充满了各式图表,SPSS便以其丰富多样的图表类型和便捷的操作方式被广泛使用。本文中我就给大家介绍一下关于SPSS怎么生成分组柱状图,SPSS柱状图标签显示不全怎么调整的相关内容。...
阅读全文 >
SPSS怎么进行Logistic回归 SPSS Logistic回归分类结果不准确怎么办
在数据分析中,Logistic回归常常作为处理二分类因变量的方法,应用场景广泛。使用SPSS进行Logistic回归时,很多朋友常面临分类结果不准确的问题。今天我们将会详细介绍关于SPSS怎么进行Logistic回归,SPSS Logistic回归分类结果不准确怎么办的相关问题。...
阅读全文 >
SPSS如何随机抽取样本数据 SPSS如何随机选取70%的数据
我们在进行数据分析的工作时,有时为了减少人为误差,避免样本集中在某些特定群体上,所以需要随机抽取样本数据。SPSS既能帮助我们处理不同的数据样本,还可以指定选取相关的数据内容,做到更加精准的数据匹配。接下来给大家介绍SPSS如何随机抽取样本数据,SPSS如何随机选取70%的数据的具体内容。...
阅读全文 >
SPSS生存曲线数据怎么录入 SPSS怎么做生存曲线
在数据分析的领域中,生存分析一直是一个重要的概念,它在生物医学领域有着广泛的应用。而在SPSS中录入生存曲线数据,是我们进行生存分析的第一步,也是关键的一步,生存曲线的数据与后续的数据分析有着重要的关联。SPSS软件在其中可以帮助我们快速进行数据分析和曲线绘制,接下来给大家介绍SPSS生存曲线数据怎么录入,SPSS怎么做生存曲线的具体内容。...
阅读全文 >